USD: R$ 4,97
BTC: R$ 385.617,13
EUR: R$ 5,83
GBP: R$ 6,71

Equação de Troca de Fisher

1: Introdução

A Equação de Troca de Fisher corresponde à Teoria Quantitativa da Moeda, muitas vezes representada pelas suas iniciais TQM. É uma teoria monetarista, elaborada pelo economista estadunidense Irving FISHER (EUA, 1867 – 1947, EUA).

É creditado a ele o início da Escola Monetarista, quando a partir de sua obra sobre a TQM. O também monetarista Milton Friedman disse, certa vez, que Fisher foi o maior economista que os Estados Unidos produziram.

A TQM, mais do que uma teoria, é um meio prático de explicar conceitos econômicos em especial, o quanto a inflação é influenciada pela quantidade de moeda disponível. Uma explicação tipicamente monetarista. Ademais esse trabalho é o elemento iniciador da própria Escola Monetarista o que eleva sua importância, além da economia, mas também no âmbito histórico.

Irving Fisher, Teoria Quantitativa da Moeda (TQM) e a Equação da Troca de Moeda de Fisher

2: Teoria Quantitativa da Moeda (TQM)

A Equação da Troca da Moeda de Fisher é a relação matemática da TQM. Assim, para entendermos a equação, temos que compreender a teoria. Comecemos pela seguinte afirmação:

“Para cada compra existe uma venda. Para cada venda existe uma compra.”

Isso nos informa que a soma de todos os valores das compras realizadas é igual à soma de todos os valores das vendas feitas.

Vamos construir um raciocínio lógico, com o intuito de apreender o significado da equação. Para fins didáticos, vamos associar compra a gastos. Isso porque sempre que compramos algo, nós “gastamos” nosso dinheiro. Assim, a associação é válida e didaticamente tem seu valor. A associação é meramente didática!

COMPRAR GASTAR

Do outro lado temos as vendas. Para fins didáticos vamos associar vendas a receitas. Isso faz sentido porque uma empresa tem receitas ao vender, vendendo bens e serviços. Mais uma vez, a associação é válida e tem seu valor didático. Não temos a intenção de agregar, em uma mesma equação, variáveis macroeconômicas e microeconômicas. Nosso intuito é criar uma compreensão lógica e racional da construção da equação. Logo, dentro desta didática, temos:

VENDERRECEITA

De posse disso vamos fazer duas observações. A primeira é que a equação da Troca de Fisher é uma igualdade entre um ente que corresponde à expressão GASTAR com um ente que corresponde à expressão RECEITA.

A segunda observação é que cada lado da equação corresponde a uma dinâmica da economia. O Lado 1 é o bloco correspondente ao fluxo de moeda. Quando compramos colocamos em circulação a moeda, logo, iniciamos um fluxo de moeda na economia, ou, tecnicamente, fluxo de gastos monetários na economia. Não basta estar com dinheiro, temos que colocá-lo em movimentação, ou, em termos mais técnicos, em circulação.

Já o Lado 2 é o bloco que corresponde às transações, já que é onde ocorre a troca de dinheiro por bens ou serviços. Também pode ser visto como o lado da Produção. Temos, assim, o seguinte resumo:

LADO 1: Corresponde ao Fluxo Monetário na economia.
LADO 2: Corresponde às Transações na economia, ou ainda, à Produção.

E, segundo a Teoria Quantitativa da Moeda (TQM), temos que:

LADO 1 = LADO 2

Agora podemos apresentar um enunciado mais técnico e completo da Teoria Quantitativa da Moeda (TQM). Considerando o Lado 1 como “gastos” e o Lado 2 como “bens e serviços” que são os elementos que geram a arrecadação para uma empresa, podemos afirmar:

O valor total de gastos monetários, em um dado período, é igual ao valor total de bens e serviços produzidos em uma economia“.

Para terminar, a Equação da Troca de Moeda é importante afirmar que é uma relação para longo prazo.

3: Fluxo Monetário na Economia

Vamos compreender o primeiro lado da Equação da Troca de Moeda de Fisher. Temos que analisar como ocorre o fluxo monetário na economia. Um fluxo implica a existência de tempo ou período. Por exemplo, a corrente elétrica é o fluxo de elétrons em dado intervalo de tempo. A vazão de água é a quantidade mássica ou volumétrica, ou seja, seu fluxo por unidade de tempo. Essa lógica se aplica ao fluxo monetário.

Um primeiro ponto a observar em nosso estudo é saber diferenciar entre quantidade de moeda física e a velocidade de circulação de moeda. São conceitos distintos e de suma importância.

Quando falamos de quantidade de moeda física, representado pela letra “M”, estamos nos referindo à quantidade de papel-moeda que está disponível no mercado.

Neste caso a medida é física e não se altera a menos que o Estado, por meio do Banco Central, injete ou retire moeda doméstica do mercado. Para fins de elucidação, em março de 2026, no Brasil, a disponibilidade estava em, aproximadamente, 350 bilhões de Reais em papel-moeda em poder do público. Esse é o volume de moeda física, por assim dizer, neste caso, M = R$ 350 Bilhões.

Entretanto, isso (M) é uma quantidade monetária e não define a velocidade de circulação de moeda. Esse segundo conceito é importante porque tem relação com a velocidade de circulação do papel-moeda e, ao fim, com a produção de riqueza de um país.

O conceito de velocidade de circulação de moeda, representado pela letra “V”, refere-se ao número de vezes, em valores médios, que uma mesma unidade monetária troca de mãos. Ou seja, há referência à quantidade de transações que uma mesma unidade monetária participou.

Vamos apresentar dois exemplos, e ao fim, a equação para a velocidade de circulação de moeda, recordando, trata-se de uma medida média. Esse ponto é importante porque envolve uma sutileza na teoria que a muitos escapa.

EXEMPLO 1: Se uma pessoa tem R$ 100,00 e utiliza esse valor para comprar uma roupa, essa ação envolve uma movimentação financeira. Supondo que o proprietário da loja de roupa utiliza esse mesmo valor para ir ao açougue e comprar R$ 100,00 de carne, então, nesta segunda transação, houve a movimentação de mais R$ 100,00.

Neste caso não importa que sejam os mesmos R$ 100,00; o que importa é que ele foi usado em dois momentos distintos. A quantidade física é a mesma, no caso, R$ 100,00, mas o fluxo é diferente e totaliza R$ 200,00. Isso porque a mesma quantidade monetária foi usada em situações diferentes. Neste caso, a velocidade de circulação é 2, porque o valor de R$ 100,00 foi movimentado duas vezes.

EXEMPLO 2: Uma pessoa qualquer gasta R$ 200,00 para consertar o seu automóvel. O mecânico, por sua vez, utiliza R$ 180,00 para comprar duas pizzas. Neste caso, a quantidade monetária é R$ 200,00, mas o fluxo de transações é R$ 360,00; porque somente R$ 180,00 foi usado duas vezes em diferentes transações. Entretanto, a velocidade de circulação da moeda neste caso é 1,8, porque não houve uso de todo o valor disponível.

Assim, retomaremos o conceito de velocidade de circulação de moeda. O conceito afirma tratar-se de um valor médio. Logo, a equação para a velocidade de circulação de moeda, sendo representado por “V” é:

Equação da Velocidade do Dinheiro da Equação Quantitativa da Moeda de Fisher
Equação 01: Velocidade do Dinheiro

Assim, para o exemplo 1 temos V = 200/100 = 2. Para o exemplo 2 temos V = 360/200 =1,8. Esse conceito é fundamental e a sutileza deve ser entendida.

Assim, conceitualmente, velocidade de circulação de moeda é o número médio de vezes que uma unidade monetária é utilizada em transações ao longo de um determinado período.

Portanto, para o Fluxo Monetário na Economia, correspondente ao Lado 1 da Equação de Troca de Fisher, temos:

Equação monetária da Equação da Troca da Moeda de Fisher
Equação 02: Lado monetário da Equação de Fisher

O valor de “M” e de “V” são valores médios.

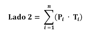
4: Valor Total das Transações na Economia

Vamos analisar o Lado 2 da equação, referente às transações na economia. Vamos usar a seguinte imagem como forma de fundamentar nosso raciocínio lógico e expandir nossas ideias a partir desta metáfora.

Demonstrativo de Compra e Venda para Equação da Troca de Moeda de Fisher
Demonstrativo de Compra e Venda

O que essa imagem nos informa?

Nos informa o total das transações realizadas. Nos mostra um ato de compra e venda, com registro dos valores unitários de cada produto e as quantidades de cada um. Ao fim, o valor transacionado. Essa é a mesma lógica para o Lado 2 da equação de Fisher para a Teoria Quantitativa da Moeda.

Logo, podemos escrever, a seguinte relação matemática:

Equação da produção da Equação da Troca da Moeda de Fisher
Equação 03: Lado da produção da Equação de Fisher

Ou, em termos mais comumente apresentados, temos:

Equação das transações da Equação da Troca da Moeda de Fisher
Equação 04: Lado das transações da Equação de Fisher

Onde “P” é o preço e “T” o número de transações para o preço “i”, ou seja, é quantidade de elementos transacionados para cada elemento “i”.

Isso é o suficiente para apresentar a Equação de Troca da Moeda de Fisher.

5: A Equação de Troca da Moeda de Fisher

Para termos a equação só precisamos igualar o Lado 1 e o Lado 2. Assim, temos:

Equação da Troca de Moeda de Fisher
Equação 05: Equação da Troca de Moeda de Fisher

Essa é a Equação da Troca da Moeda. Normalmente ela é apresentada conforme segue:

Equação da Troca de Moeda de Fisher
Equação 06: Equação da Troca de Moeda de Fisher

Onde:

M: Quantidade média de moeda em dado período de tempo transacionado no mercado
V: Velocidade da Moeda
P: Preço médio das transações
T: Volume das Transações realizadas

A mesma equação pode ser apresentada em forma matricial, onde, na Macroeconomia se substitui as transações “T” pela produção “Q”.

Equação da Troca de Moeda de Fisher na forma matricial
Equação 07: Equação da Troca de Moeda de Fisher na forma matricial

6: O que a Equação da Troca de Moeda nos informa

A Equação da Troca de Moeda de Fisher é uma relação matemática da macroeconomia que nos informa que o valor total dos gastos em uma economia é igual ao valor das trocas de bens e serviços ocorridos nesta economia. É o que afirmamos no início deste Artigo que, para cada compra, há uma venda.

Tecnicamente, podemos e devemos ir mais além. Ela pode nos dar sinais da riqueza de um país. Temos que ter muito claro que quantidade de dinheiro não é sinônimo de riqueza. A riqueza se mede pela produção de um dado país, produção de bens e serviços.

Mas não adianta ter oferta de bens e serviços se não existe a troca destes pelo papel-moeda. Nisso devemos atentar para a variável “V” que se relaciona à velocidade de circulação de moeda. Essa variável nos diz quantas vezes uma unidade monetária trocou de mãos.

Na prática, isso nos informa que quanto maior o valor de “V”, maior é a intensidade de circulação da moeda, ou seja, mais vezes o dinheiro é utilizado em transações.

Entretanto, é importante destacar que um aumento na velocidade de circulação não implica, necessariamente, aumento da riqueza de um país. A riqueza está associada à produção de bens e serviços, e não apenas ao número de transações realizadas.

Assim, a variável “V” funciona como um indicador do grau de dinamismo da economia, mostrando o quão ativa ou aquecida ela está, mas não sendo, por si só, determinante da geração de riqueza.

Vamos mais além…

Se analisarmos a Equação da Troca de Moeda, observamos que uma variação em uma de suas variáveis implica em ajustes nas outras variáveis, de forma manter a identidade “MV = PQ”.

Por exemplo, se o governo injeta dinheiro na economia, há aumento na quantidade de moeda “M”. O que acontece nesse caso?

Bem, isso depende de como as demais variáveis vão reagir diante desta mudança. Esse aumento pode se refletir:

(i) na elevação dos preços “P”,
(ii) no aumento da produção “Q”,
(iii) na alteração da velocidade de circulação da moeda “V”, ou, por fim,
(iv) em combinações desses fatores.

De volta ao nosso exemplo… com o aumento de “M” temos os seguintes casos possíveis:

CASO 1 – Aumento da Produção “Q”: No caso de economias com capacidade produtiva ociosa, o aumento de “M” pode estimular a produção “Q”, com menor impacto sobre os preços.
Exemplo de economia com capacidade produtiva ociosa: Brasil (2015/2016), Argentina (2026).

CASO 2 – Elevação dos Preços ‘P”: Já no caso de economias próximas do pleno emprego, o aumento da disponibilidade de moeda “M” tende a se refletir mais intensamente na elevação dos preços “P”.
Exemplo de economia próxima ao emprego: Estados Unidos da América (2026).

No geral, o aumento de “M” causa impacto sobre “Q” e “P”. Entretanto pode acontecer de haver variações em “V”.

Quando existe incertezas e dúvidas entre as pessoas de uma dada economia, naturalmente, elas gastam menos, ou seja, retém o dinheiro. Isso significa uma redução de “V”. A redução de “V” tem menor impacto nos preços, reduzindo a pressão inflacionária.

No caso de uma economia mais confiante, os gastos aumentam, logo “V” aumenta, o que empurra os preços para cima, aumentando a pressão inflacionária.

Assim, a Equação da Troca de Moeda não determina um único resultado, mas expressa uma relação de equilíbrio entre variáveis que se ajustam de acordo com as condições da economia. Variações simultâneas em “V”, “P” e “Q” podem ocorrer em contextos de mudanças macroeconômicas ou em resposta a choques econômicos.

Para fins de análise, é interessante entender “M” como dinheiro disponível; “V” como comportamento das pessoas (de compra e venda); “Q” como produção e, por fim, “P” como preços.

7: A Equação da Troca de Moeda de Fisher e o PIB

Se observarmos a equação 06 apresentada podemos expandir nossa compreensão e perceber que o Lado 2 da equação, “PQ” corresponde à produção de uma economia. Isso é o que definimos como PIB nominal. Já o valor isolado de “Q” é o chamado PIB real isso porque considera os bens e serviços produzidos, independentemente dos preços. Assim, temos:

Equação do PIB nominal e real e a TQM
Equação 08: PIB nominal e real e a TQM

Logo, devido à identidade, podemos ainda escrever:

Equação do PIB nominal e a equação monetária
Equação 09: PIB nominal e a equação monetária

A Equação da Troca de Moeda de Fisher permite compreender o funcionamento macroeconômico de uma economia. Isso faz sentido porque o Lado 1 é o valor de todo o fluxo monetário de uma economia e o Lado 2 o valor de toda a produção. Logo, temos:

Equação de Identidade do PIB nominal e a TQM, Teoria Quantitativa da Moeda
Equação 10: Identidade do PIB nominal

Assim, temos o PIB definido a partir da visão monetária e a partir da visão da produção.

8: Velocidade do Dinheiro: Interpretação e Valores nos Países

Conforme a equação 01 e a equação 09 podemos determinar, numericamente, o valor “V”. Ele não deve ser analisado isolado como muitos indicadores, mas seu valor fornece indicações relevantes, ainda mais se conhecemos a realidade de determinado país.

A Velocidade do Dinheiro “V” pode ser calculada conforme a equação 11.

Equação da Velocidade do Dinheiro
Equação 11: Velocidade do Dinheiro

Temos que ter claro que a Velocidade da Moeda varia significativamente entre países, e que ela

(i) reflete diferenças no comportamento dos agentes econômicos,
(ii) reflete no grau de desenvolvimento financeiro e
(iii) reflete na confiança da economia.

O que jamais devemos esquecer quando da análise de “V” é que ela reflete o comportamento das pessoas em uma dada economia. Ou seja, V aumenta quando as pessoas gastam mais e V diminui quando pessoas gastam menos.

A equação 11 tem um detalhe a ser entendido. O parâmetro “M” pode ter diferentes conotações, denominados como M1, M2 e M3. Cada um deles tem sua implicação.

M1: É o dinheiro na forma de papel-moeda e na forma de conta corrente. É aquele que está disponível para uso imediato. Em síntese: dinheiro para uso imediato.
M2: É o M1 acrescido de poupanças, depósitos a curto prazo e ativos de alta liquidez. É o M1 mais formas de que podem virar dinheiro rapidamente. É o mais usado em macroeconomia para análises, devido a melhor representar a realidade. Em síntese: dinheiro para uso imediato mais poupança.
M3: É o M2 mais formas mais “difíceis” de virar dinheiro para uso imediato. É o caso de fundos institucionais, fundos de longo prazo e grandes depósitos. Usado em macroeconomia para análises específicas. Em síntese: dinheiro pra uso imediato mais poupança mais grandes aplicações.

Em termos de valores de “V”, temos, como regra geral, a ser interpretada dentro de uma análise contextualizada, os seguintes apontamentos:

0,5 < V < 1: Dinheiro tem pouca movimentação. Se diz que “o dinheiro está parado”. Há alta poupança e baixo crescimento. Exemplo: Japão.
1,0 < V < 1,5: Comportamento comum em economias desenvolvidas. Ainda há muito dinheiro parado, na forma de poupança e ativos financeiros. Exemplo: EUA.
1,5 < V < 2,5: Comportamento comum em economias emergentes. Existe inflação o que torna difícil “segurar” o dinheiro devido aos altos preços. Exemplo: Brasil.
2,5 < V < 3,0: Comportamento comum em economias instáveis. Inflação elevada, o que faz com que o dinheiro circule mais rápido, devido aos elevados preços . Exemplo: Argentina.
Acima de 3,0: Comportamento comum em economias com inflação alta. O dinheiro circula muito mais rápido em função dos preços imprevisíveis. Exemplo: Venezuela.

Podemos usar a seguinte regra:

V < 1: Dinheiro parado
1 < V < 2: Circulação normal e esperada
V > 2: Economia muito ativa

Uma observação importante: A Velocidade do Dinheiro caiu globalmente não porque a economia desacelerou, mas porque as pessoas buscam investimentos., através de ativos, fundos, entre outros.

Para concluir esta seção vamos apresentar os valores de “V” para alguns países, utilizando “M2” como variável da equação 11. Dados para março de 2026.

Valores aproximados da Velocidade do Dinheiro para os países
FONTE: VOX HOMINIS – autoria própria

9: Exemplos Interpretativos e Comentados

Seguem alguns exemplos para aclarar a TQM e encontrar uso prático da Equação da Troca da Moeda de Fisher.

EXEMPLO 3: Um empresário compra R$ 20.000,00 em insumos para sua produção. A empresa, por sua vez, utiliza R$ 8.000,00 na economia local em uma semana e mais R$ 9.000,00 na segunda semana. Ao término de um mês ela utiliza o valor restante. Determine a Velocidade do Dinheiro nestes casos.

Dados
M = R$ 20.000,00
(PQ)1 = R$ 8.000,00
(PQ)2 = R$ 17.000,00
(PQ)3 = R$ 20.000,00
t1 = 1 semana
t2 = 2 semanas
t3 = 4 semanas (1 mês)

SOLUÇÃO

A) Para 1 semana

B) Para 2 semanas

C) Para 4 semanas (1 mês)

Devemos observar que não se trata do valor disponível “M”, ou seja, do valor dispendido pelo empresário, mas da quantidade monetária recorrente, que volta a trocar de mãos em dado período de tempo.

EXEMPLO 4: Uma economia tem disponível R$ 100 milhões. Por questões da política monetária, o governo injeta na economia R$ 20 milhões. A produção não foi alterada devido ao curto prazo para essa mudança. Ademais, o governo congelou os preços. Determine o que acontece com a Velocidade do Dinheiro neste novo cenário. Comente o resultado!

Dados
M1 = R$ 100 milhões
M2 = R$ 120 milhões
(PQ)1 = (PQ)2 = constante
V1 = ?
V2 = ?

SOLUÇÃO

Temos:

Mas…

Logo:

Resolvendo para V2 e substituindo os valores, temos:

O resultado indica que V2 é 83,33% de V1 . Ou seja, a Velocidade do Dinheiro, neste novo cenário, se reduz em torno de 16,67% (= 1 – 0,833).

Comentário: Neste cenário o governo congelou os preços como forma de conter a inflação. Como a produção não foi alterada devido ao curto período de tempo e, provavelmente, ao longo prazo não tem incentivos para o aumento da produção, o aumento de moeda disponível ao público não encontra saída porque produção se manteve e os preços também, logo, o dinheiro fica retido e só é usado o dinheiro que já era usado. Como a relação é proporcional, o aumento de dinheiro não reflete o mesmo aumento proporcional na velocidade do dinheiro e por isso, em valores proporcionais, a velocidade do dinheiro se reduz.

EXEMPLO 5: Reconsiderando o Exemplo 2
Uma economia tem disponível R$ 100 milhões. Por questões da política monetária, o governo injeta na economia R$ 20 milhões. A produção não foi alterada devido ao curto prazo para essa mudança. Ademais, como hipótese comum, geralmente aplicada, o governo e os analistas econômicas projetam e consideram que o comportamento dos cidadãos permanece inalterada. Determine o que acontece com a Preço médio neste novo cenário. Comente o resultado!

Dados
M1 = R$ 100 milhões
M2 = R$ 120 milhões
V1 = V2 = V = constante (comportamento dos cidadãos permanece inalterado)
Q1 = Q2 = Q = constante
P1 = ?
P2 = ?

SOLUÇÃO

Temos:

Dividindo uma pela outra, temos:

Resolvendo para P2, e substituindo os valores, temos:

O resultado nos mostra que o Preço “P” neste novo cenário aumenta em 20%, com relação Preço anterior.

Comentário: Isso indica inflação de 20%. Esta análise é clássica para a Teoria Quantitativa da Moeda. O resultado mostra, na visão dos Monetaristas (Escola Monetarista), que a “produção artificial de moeda” por parte do governo gera inflação. Isso ocorre porque há aumento de dinheiro sem aumento da produção.

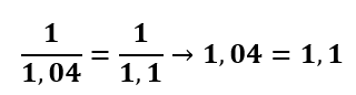
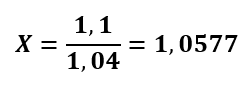
EXEMPLO 6: Uma economia com boa estabilidade cambial e sem injeção de moeda de forma artificial por parte de seu governo, pretende aumentar seu PIB em 10%, em dado período de tempo. Pesquisas sociológicas mostram que sua população, tende a responder a cenários de boa expectativa, representado pela pouca ou nenhuma variação de preços, com um aumento na intensidade das compras, em torno de 4%. O quanto a produção deve aumentar para que essa economia alcance seus objetivos?

Dados
M1 = M2 = M = constante
V1 = V
V2 = 1,04 V
Q1 = Q
Q2 = X Q = ?
P1 = P2 = P = constante
PIB2 = +10% = 1,1 PIB1
PIB1 = (PQ)1 = PIB
PIB2 = (PQ)2

SOLUÇÃO

O primeiro a entender é que o PIB é medido pelo produto “PQ”. Logo, temos:

Suubstituindo, temos:

Dividindo uma pela outra, temos:

O que resulta em:

Obviamente, a relação matemática não fecha! Assim, precisamos fazer o seguinte ajuste:

Resolvendo para “X”, temos:

Transformando em valores percentuais, temos:

Comentário: A marcha de cálculos nos permite compreender que apenas um aumento de 4% na Velocidade do Dinheiro não é o suficiente para um aumento de 10% no PIB (= (PQ)2); sendo necessário que o binômio “PQ” tenha sua contribuição. Isso ocorre com o percentual de 5,77% para esse binômio. Como o preço é tido como inalterado, a produção “Q” deve aumentar em 5,77%. Assim, com um aumento de “V” de 4% e com um aumento de 5,77% na Produção “Q”, o PIB vai crescer 10%, no período de análise.

Observação: O cálculo pode ser feito da seguinte forma:

Como são valores percentuais, a soma se faz pelo produto, conforme segue:

O que ao fim, resulta em: