1: Introdução
Para o leitor médio, que não está familiarizado com termos da economia as expressões Força de uma Moeda e Valor de uma Moeda podem confundir e causar confusão. Entretanto são elementos distintos com consequências particulares.
A Força de uma Moeda indica a solidez que ela tem tanto na economia doméstica, quanto na economia internacional. Por ter importância internacional, conseguimos facilmente entender, se tratar de uma medida relativa. Ou seja, a Força de uma Moeda é uma medida relativa, “comparativa” entre moedas. Alguns parâmetros são interessantes destacar.
O primeiro a citar é a CONFIANÇA. Ela reflete o quanto de credibilidade a moeda tem na economia doméstica e na economia internacional. Isso, em certa medida, tem relação ao histórico de não desvalorização da moeda – em termos de valores e de constantes oscilações. A confiança de uma moeda também reflete a credibilidade das instituições do país, em termos atuais e históricos. Lembre, confiança entre pessoas é algo que se conquista com o tempo, o mesmo se aplica a uma moeda, onde o histórico tem papel e importância fundamentais. A confiança de uma moeda é uma construção temporal.
Um segundo elemento importante de citar são as EXPORTAÇÕES RELEVANTES. As exportações indicam, além da capacidade produtiva de uma economia o quanto essa economia consegue se inserir, de forma eficiente, no mercado internacional. Entenda-se eficiente como o grau da capacidade competitiva frente aos demais. No mais, quanto mais comércio internacional, mais a moeda deste país se torna circulante, aumentando sua aceitação internacional, o que resulta em maior Força de Moeda.
Um terceiro elemento a ser destacado se relaciona ao ALTO PODER DE COMPRA NO EXTERIOR. Isso significa adquirir bens e serviços internacionais com menor quantidade de moeda doméstica. O fato de poder adquirir mais com menos moeda, demonstra que ela tem valor agregado frente ao comércio internacional. Isso é um reflexo da Força de uma Moeda.
Por fim, e não menos importante, temos a ESTABILIDADE. Ela tem relação a baixa ou pequena oscilação cambial da sua parte e a capacidade de manter um controle inflacionário na economia. Naturalmente, assim como a confiança, a estabilidade se constrói com o tempo e ambas constroem a credibilidade de uma moeda.
Essas e outras características, em conjunto, definem o grau de robustez de uma moeda no sistema econômico. Em termos de medida da Força de uma Moeda, podemos utilizar vários métodos para seu aferimento. Um método não exclui os demais, cada método tem seu apoio e sua utilidade para determinados fins.
Podemos categorizar a medida da Força de uma Moeda em três abordagens:
(i) Abordagem Monetária;
(ii) Abordagem pelo Mercado Internacional e
(iii) Abordagem pelo Mercado Financeiro
Cada abordagem tem suas divisões e sua utilidade, onde uma não invalida as demais. Vamos estudar as três abordagens, onde cada qual tem seus métodos e metodologias.
2: O que é a Força de uma Moeda
A Força de uma Moeda refere-se à sua capacidade de manter valor ao longo do tempo e em diferentes contextos econômicos, ou seja, em terminologia mais técnica, capacidade de preservar poder de compra e estabilidade relativa. Isso envolve não apenas o seu poder de compra interno, mas também
(i) sua posição relativa frente a outras moedas,
(ii) sua aceitação internacional e
(iii) sua atratividade para investidores.
Estes três parâmetros nos permitem entender porque temos três abordagens distintas para aferir a Força de uma Moeda.
Uma Moeda Forte tende a
(i) ser estável,
(ii) ser confiável e
(iii) ser capaz de preservar riqueza.
Enquanto uma Moeda Fraca, geralmente
(i) sofre com inflação elevada,
(ii) sofre com desvalorização cambial e
(iii) possui baixa confiança.
Portanto, a Força de uma Moeda é um conceito multidimensional, que depende de fatores monetários, comerciais e financeiros, sendo necessário analisá-la por diferentes indicadores para uma avaliação completa, mais realista e fidedigna. Essa complexidade exige o uso combinado de diferentes métricas, evitando interpretações simplificadas.
3: Força de uma Moeda – Abordagem Monetária
3.1: Introdução
A abordagem monetária avalia a Força de uma Moeda com base no seu poder de compra dentro da própria economia. Sua importância está em medir quanto bens e serviços podem ser adquiridos com a moeda, refletindo diretamente o impacto da inflação e do custo de vida.
Entre os principais indicadores estão:
(i) Paridade do Poder de Compra (PPC) e
(ii) Índice Big Mac.
Ele comparam preços entre países para identificar distorções cambiais. Essa abordagem é especialmente útil para turistas, consumidores e análises de custo de vida, além de economistas interessados em comparar padrões de consumo entre países. Utiliza-se esse método porque ele elimina distorções do câmbio nominal, focando no valor real da moeda no dia a dia.
3.2: Indicador PPP
A sigla significa Paridade do Poder de Compra, em inglês, Purchasing Power Parity. Em português a sigla usada pode ser PPP ou, ainda PPC. Esse indicador ignora o câmbio de mercado e constrói uma taxa teórica, independe das flutuações cambiais de curto prazo. Ele mede o poder de compra real de forma comparativa, o que reflete a realidade de forma mais fidedigna.
O QUE MEDE: A capacidade de compra que uma moeda tem.
EXEMPLO: Um livro no Brasil custa R$ 200,00; o mesmo livro nos EUA custa US$ 40,00. O câmbio do período é US$ 1 = R$ 5,5.
Passo 1: Encontrar a relação entre os preços.
p = R$ 200,00/US$ 40,00 = 5
Passo 2: Encontrar a relação entre a taxa de câmbio.
c = R$ 5,50/US$ 1,00 = 5,5
Passo 3: Comparar os resultados e interpretar
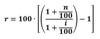
Interpretação: A relação de preços REAL/DÓLAR é 5. A relação cambial REAL/DÓLAR é 5,5. O que isso significa? A conversão de Real para Dólar (5,5) é maior que a relação de preço “real” de um produto (5,0). Isso significa que existe desvalorização da moeda relativamente mais fraca, no caso, o Real. Essa desvalorização relativa pode ser calculada, como mostra a equação 01:

Para o Real, temos:

Para o Dólar Americano, temos:

Neste exemplo o Real está 10% desvalorizado com relação ao Dólar Americano e este, está 9,09% valorizado com relação ao Real. Logo, a partir deste indicador, o Dólar Americano, neste exemplo, é a moeda mais forte. Uma forma mais precisa é considerar uma cesta de produtos, no lugar de apenas um único produto. A diferença de valores se deve a uma assimetria matemática, com uso de denominadores diferentes.
Em resumo, o PPC representa uma taxa de câmbio de equilíbrio de longo prazo, baseada na igualdade de preços entre economias. Útil para turistas e economistas que queiram comparar economias diferentes.
3.3: Índice BIG MAC
É o indicador PPP com uso de um produto específico, no caso o BIG MAC. Mas por que o Big Mac?

(Fonte: https://www.mcdonalds.com.br/cardapio/sanduiches-de-carne-bovina/big-mac)
Seu uso se dá por três principais motivos:
(i) é replicado internacionalmente,
(ii) possui padrão em sua constituição e
(iii) aferição simples.
Esse indicador permite fornecer uma aproximação simplificada da PPP em dada economia. Ademais, tem uma medida intrínseca, que é o consumo de carne. A quantidade de consumo de carne vermelha em uma economia pode refletir, de forma indireta, padrões de consumo e renda. Logo, ainda que de forma indireta, existe esta medida.
O QUE MEDE: A capacidade de compra que uma moeda tem e, de forma indireta o acesso da população ao consumo de carne vermelha.
EXEMPLO: Um Big Mac no Brasil custa R$ 24,00 e nos EUA, US$ 6,00. A taxa de câmbio entre REAL/DÓLAR AMERICANO é 5,5.
Todo o cálculo segue a mesma lógica e sequência.
Passo 1: Encontrar a relação entre os preços.
p = R$ 24,00/US$ 6,00 = 4
Passo 2: Encontrar a relação entre a taxa de câmbio.
c = R$ 5,50/US$ 1,00 = 5,5
Passo 3: Comparar os resultados e interpretar
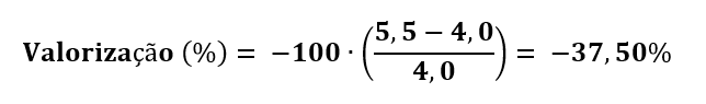
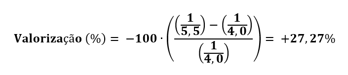
Interpretação: A relação de preços REAL/DÓLAR é 4. A relação cambial REAL/DÓLAR é 5,5. O que isso significa? A conversão de Real para Dólar (5,5) é maior que a relação de preço do Big Mac (4,0), ou, tecnicamente, maior que a relação de preços implícita (PPP). Isso significa que existe desvalorização da moeda relativamente mais fraca, no caso, o Real. Vamos calcular a desvalorização relativa.
Para o Real, temos:

Para o Dólar Americano, temos:

Neste exemplo o Real está 37,5% desvalorizado com relação ao Dólar Americano e este, está 27,27% valorizado com relação ao Real. Logo, a partir deste indicador, o Dólar Americano é moeda a mais forte. De forma semelhante ao caso anterior, a diferença de valores se deve a uma assimetria matemática, devido ao uso de denominadores diferentes, isso em virtude da diferença que decorre da base de comparação utilizada no cálculo percentual.
Este indicador é muito útil para turistas que visam saber o quanto terão de gastar com a alimentação em sua viagem. Útil para economistas comparar economias. Por utilizar apenas um produto, o índice possui limitações e deve ser interpretado como uma aproximação simplificada do poder de compra.
4: Força de uma Moeda – Abordagem pelo Comércio Internacional
4.1: Introdução
A abordagem do comércio internacional mede a força da moeda pela sua capacidade de competir globalmente. Sua importância está em indicar se um país consegue exportar de forma eficiente e importar sem perda excessiva de poder de compra.
Os principais indicadores incluem:
(i) Taxa de Câmbio Real (RER),
(ii) Taxa de Câmbio Real Efetiva (REER) e
(iii) Termos de Troca (TT).
Esses indicadores ajustam o câmbio pela inflação e pelos preços relativos do comércio exterior.
Esse tipo de análise é amplamente utilizado por governos, formuladores de políticas econômicas e empresas exportadoras e importadoras, dada sua característica intrínseca. Ele é utilizado porque revela a competitividade estrutural da economia, algo que o câmbio nominal não consegue mostrar isoladamente.
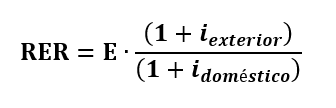
4.2: Indicador RER
RER é a sigla em inglês para Real Exchange Rate, ou em português, Taxa Real de Câmbio. Esse indicador ajusta o câmbio nominal entre duas moedas e as inflações dos países envolvidos por meio de sua medida relativa.
Ele permite aferir o quanto uma moeda doméstica tem poder de compra com relação a outra economia, medindo medindo sua força em termos comparativos. Uma moeda forte, geralmente indica maior poder de compra internacional e menor custo de importação. A medida é relativa entre um par de moedas.
No cálculo pode ser usado dois parâmetros distintos, a inflação em cada país ou o valor de um produto ou cesta de produtos. O único parâmetro comum aos dois casos é a taxa de câmbio entre as moedas. O parâmetro inflação faz sentido para uma análise de competitividade internacional entre as moedas em questão.
O QUE MEDE: A competitividade internacional entre um par de moedas.
EXEMPLO: Sabendo que em 2025 a taxa de inflação no Brasil foi de 4,26% e nos EUA foi 2,70%, determine a Força Relativa entre as Moedas para uma taxa de câmbio 5,5, relação Real/Dólar Americano.
A solução é dada pela equação 02:

O parâmetro “E” é a taxa de câmbio. Os valores dentro dos parênteses é a inflação em mesma base e, na prática, é calculada da seguinte forma:

A equação 03 é conhecida como Fator de Capitalização, ou ainda, Fator de Acumulação. Aplicando os valores à equação 02, considerando o formato da equação 03, temos:

Como a taxa de câmbio é 5,5 e a RER é 5,41 (E > RER); isso indica que o Real é moeda mais fraca no par analisado e que a moeda forte no par analisado é o Dólar Americano. Assim, como E > RER, o câmbio de mercado está acima do câmbio ajustado pela inflação, indicando que o Real está relativamente desvalorizado frente ao Dólar.
O RER representa uma taxa de câmbio ajustada por diferenças inflacionárias, sendo um indicador de competitividade de curto a médio prazo entre duas economias. Ele é bastante útil para o comércio internacional e pelo governo.
4.3: Indicador REER
REER é a sigla em inglês para Real Effective Exchange Rate, ou em português, Taxa de Câmbio Real Efetiva. Esse indicador é uma versão ponderada da RER (uma média ponderada das RERs bilaterais). Ele considera vários parceiros comerciais, portanto, utiliza uma cesta de moedas para sua análise.
Podemos criar uma escala com REER para cada país, considerando as cestas de moedas apropriadas para cada caso. Estas cestas variam conforme os parceiros comerciais de maior relevância para cada país. Para o cálculo do REER precisamos de três variáveis, são elas:
(i) Taxa de câmbio do país analisado e seus parceiros comerciais para um período t
(ii) Taxa de inflação do país analisado e de seus parceiros comerciais para um período t
(iii) Peso comercial entre o país analisado e seus parceiros. O peso comercial é calculado conforme a equação 04, com valores em unidades monetárias (R$ ou US$, este último, preferível):

E a REER se calcula conforme mostra a equação 05:

O QUE MEDE: A força estrutural de uma dada moeda no comércio exterior, comparada com outras moedas. Permite construção de uma escala de Força de Moedas, uma medida relativa.
Temos os seguintes passos para calcular a REER.
Passo 1: O primeiro passo é determinar o peso comercial. Isso é possível calcular buscando os dados em fontes confiáveis, tais como: Banco Central do Brasil; Fundo Monetário Internacional e World Bank.
Passo 2: Levantar os valores de Taxa de Câmbio entre a moeda do país analisado e os demais países. Estas taxas são fáceis de encontrar.
Passo 3: Levantar os valores das taxas de inflação do país analisado e de seus principais parceiros comerciais.
Passo 4: Transformar as inflações em base comum.
Passo 5: Para fins de organização, vamos montar uma tabela.
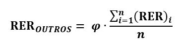
Passo 6: Calcular a RER para cada parceiro conhecido.
Passo 7: Calcular a RER para cada os “Outros”, pela média da RER e acrescida de uma correção de 25% (percentual empírico, usado para a realidade do Brasil, de medida diferente para outros países e conforme o tipo de metodologia).
Passo 8: Calcular a REER individual.
Passo 9: Calcular a REER total do país analisado.
Passo 10: Interpretar.
EXEMPLO: O Brasil tem 3 principais parceiros comerciais, a China, com peso comercial 0,3; Estados Unidos, com peso comercial 0,2; a Zona do Euro, com peso comercial 0,2 e os demais, os quais chamaremos de Outros, 0,3 de peso comercial. Determinar a REER.
SOLUÇÃO
Já temos os valores, portanto, vamos direto ao passo 4. Aplicando a equação 03, temos:
Brasil = 4,26%
EUA = 2,7%
China = 1,5%
Zona do Euro = 3,0%
Outros = Não necessita, cálculo direto da RER pela média dos demais parceiros! (Para o grupo “Outros”, utiliza-se uma aproximação baseada na média das RERs dos principais parceiros)

Vamos montar uma tabela de valores como orienta o passo 5.

Seguindo o passo 6, vamos calcular a RER para cada parceiro conhecido. Para isso usamos a equação 02:

Na sequência, conforme o passo 7, vamos calcular a RER para todos os demais parceiros comerciais, os “OUTROS”, conforme mostra a equação 06.

Para o caso específico do Brasil o parâmetro “φ” vale 1,25. Esse valor é um fator de correção que pode variar de país para país e de tempos em tempos. Substituindo os valores na equação 06, temos:

Agora nos cabe calcular a REER para cada parceiro comercial, conforme o passo 8. O cálculo se faz conforme equação 05:

Por fim, nos resta calcular o REER final, tecnicamente, REER agregado, como indica o passo 9. Basta somar todos os valores individuais de REER.

O valor da REER, para o Brasil com relação aos seus parceiros é 3,9715. O que isso nos indica? Uma forma de entender e interpretar é através da média da taxa de câmbio que vale 4,05; considerando os EUA, EUR e CHN. Como REER = 3,9715 < 4,05 = Taxa de Câmbio Média, isso nos diz que o Real está mais valorizado na prática comercial do que nos informa a taxa nominal de câmbio.
Entretanto, o REER pode ser ainda mais útil se nós fizermos uma escala. Para isso temos que realizar os mesmos cálculos para os parceiros do Brasil, com o intuito de comparar e ter uma escala da Força das Moedas. Assim, para cada país, a partir de seus próprios parceiros comerciais e suas respectivas taxas de câmbio e os devidos pesos comerciais e inflações, podemos realizar os mesmos cálculos. Assim, teremos, para este caso:

O que isso nos diz? Isso nos diz que a REER de menor valor é a moeda mais forte de todas na questão prática do mercado internacional, considerando esta metodologia. Por outro lado, a moeda com maior REER é aquela que tem a menor força no comércio internacional. Podemos fazer uma escala, tal qual a imagem abaixo.

Esse indicador é interessante porque se construído para várias moedas/países nos permite montar uma escala da Força das Moedas, uma escala relativa, tal como a imagem acima.
Esse indicador é amplamente utilizado por economistas, bancos centrais e formuladores de políticas econômicas, sendo especialmente útil para avaliar a competitividade externa de uma economia e orientar decisões de política cambial e comercial.
O REER é um dos principais indicadores de competitividade externa, pois incorpora simultaneamente preços relativos e estrutura de comércio internacional.
4.4: Indicador a partir dos Termos de Troca
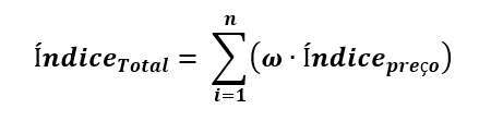
Em inglês, Terms of Trade. Indicador obtido através da relação entre os preços de exportação e importação.
Os termos de troca medem a relação entre os preços de exportação e importação, indicando o poder de compra externo do país, e não o volume ou valor total do comércio. Ele não informa se houve mais ou menos importação ou exportação, já que a relação que existe é a partir dos preços.
A equação 07 mostra como se calcula esse indicador.

E para calcular cada um dos índices de Preço, temos a equação 08.

Para calcular o preço médio, se usa a equação 09.

E para calcular o Índice total, utilizamos a equação 10. O parâmetro “t-1” indica que os valores são referentes

O cálculo é feito para um dado país a ser analisado e para uma cesta de produtos. Utilizamos no numerador da equação 07 os produtos exportados e no denominador os produtos importados. Em suma, utilizamos uma cesta de produtos.
O parâmetro “ω” é o peso ponderado e é calculado conforme equação 11. O parâmetro “t=-1” se refere aos dados do ano base, não ao ano de análise.

Por questões metodológicas, o uso de “t=-1” é para fins de comparar sem haver distorções. O uso de “t” no tempo analisado causa distorções na análise.
O QUE MEDE: A capacidade de troca internacional da economia doméstica.
EXEMPLO: Calcular a TT a partir dos dados da Tabela abaixo.

SOLUÇÃO: Para fins de organização, vamos trabalhar por direção do comércio internacional, ou seja, primeiro faremos os cálculos para as Exportações, depois para as Importações. Note que faltam dados na seção de Importações. Sobre isso falaremos em momento oportuno.
Vamos calcular os Preços Médios para 2024 e 2025, para as exportações, a partir da equação 09. Assim, temos:
PREÇOS MÉDIOS : Exportações – 2024
Soja: 60 US$ Bi / 150 milhões ton. → Preço Médio = 400 US$/ton.
Minério de Ferro: 52,5 US$ Bi / 350 milhões ton. → Preço Médio = 150 US$/ton.
Petróleo: 32 US$ Bi / 400 milhões ton. → Preço Médio = 80 US$/barril
Carne Bovina: 10 US$ Bi / 2 milhões ton. → Preço Médio = 5000 US$/ton.
PREÇOS MÉDIOS : Exportações – 2025
Soja: 68,2 US$ Bi / 155 milhões ton. → Preço Médio = 440 US$/ton.
Minério de Ferro: 51 US$ Bi / 340 milhões ton. → Preço Médio = 150 US$/ton.
Petróleo: 37,8 US$ Bi / 420 milhões ton. → Preço Médio = 90 US$/ton.
Carne Bovina: 11,55 US$ Bi / 2,1 milhões ton. → Preço Médio = 5500 US$/ton.
O próximo passo é calcular o Índice de Preços para cada produto exportado, a partir da equação 08.
ÍNDICE DE PREÇOS – Exportações
Soja: 100 x (440/400) → Índice de Preço = 110
Minério de Ferro: 100 x (150/150) → Índice de Preço = 100
Petróleo: 100 x (90/80) → Índice de Preço = 112,5
Carne Bovina: 100 x (5500/5000) → Índice de Preço = 110
A próxima etapa é determinar os pesos ponderados para cada produto, o que se faz conforme equação 11.
PESO PONDERADO POR PRODUTO – Exportações
Soja: 60 US$ Bi / 154,50 US$ Bi → ω = 0,388
Minério de Ferro: 52,5 US$ Bi / 154,50 US$ Bi → ω = 0,340
Petróleo: 32 US$ Bi / 154,50 US$ Bi → ω = 0,207
Carne Bovina: 10 US$ Bi / 154,50 US$ Bi → ω = 0,065
Por fim, basta aplicar a equação 10 para calcular o Índice Total de Preços para a Exportação. Substituindo os valores, temos:

Logo, o Índice de Preços para a Exportação é 106,842.
Agora, aplicar o mesmo procedimento para as Importações. O primeiro a observar é que dos 3 produtos somente um tem todos os dados. Então, fica a pergunta: Como proceder neste caso? RESPOSTA: Vamos avaliar a variação de preço!
PREÇO MÉDIO : Importações – 2024
Combustíveis: 30 US$ Bi / 300 milhões barris. → Preço Médio = 100 US$ Bi/ton.
————————————————————————————–
Máquinas: Preço = 40 US$ Bi
Eletrônicos: Preço = 50 US$ Bi
PREÇO MÉDIO : Importações – 2025
Combustíveis: 35,2 US$ Bi / 320 milhões barris. → Preço Médio = 110 US$ Bi/ton.
————————————————————————————–
Máquinas: Preço = 44 US$ Bi
Eletrônicos: Preço = 55 US$ Bi
O próximo passo é calcular o Índice de Preços para cada produto importado, a partir da equação 08.
ÍNDICE DE PREÇOS – Importações
Combustíveis: 100 x (110/100) → Índice de Preço = 110
————————————————————————————–
Máquinas: 100 x (44 US$ Bi / 40 US$ Bi) → Índice de Preço = 110
Eletrônicos: Preço = 100 x (55 US$ Bi / 50 US$ Bi) → Índice de Preço = 110
A próxima etapa é determinar os pesos ponderados para cada produto, o que se faz conforme equação 11.
PESO PONDERADO POR PRODUTO – Importações
Combustíveis: 40 US$ Bi / 120 US$ Bi → ω = 0,333
Máquinas: 30 US$ Bi / 120 US$ Bi → ω = 0,25
Eletrônicos: 50 US$ Bi / 120 US$ Bi → ω = 0,417
Por fim, basta aplicar a equação 10 para calcular o Índice Total de Preços para a Importação. Substituindo os valores, temos:

Logo, o Índice de Preços para a Importação é 110,000.
Agora, através da equação 07 calculamos a TT. Como:
Índice de Preços para a Exportação = 106,842 e
Índice de Preços para a Importação = 110,000; temos:

Assim, a TT para a cesta de produtos de exportação e importação que apresentamos resultou em 0,971.
Interpretação: Isso significa que o país perdeu poder de troca. Como o Índice de Preços para a Exportação vale 106,842, aproximadamente, 107; isso significa que os preços das exportações aumentaram em 7%. Já no caso das importações, elas aumentaram em 10%; porque o Índice de Preços para a Importação vale 110.
Como a TT é menor que 1, isso representa que o país, realmente perdeu poder de compra externo, haja vista, a equação da TT é o Índice de Preço da Exportação no numerador. Se TT < 1; logo o Índice de Preço da Exportação é menor que o Índice de Preço da Importação. Em termos gerais, a moeda perdeu força externa.
Esse indicador é amplamente utilizado por economistas, governos e analistas de comércio internacional, sendo especialmente útil para avaliar a evolução do poder de compra externo de um país e orientar políticas comerciais e estratégicas.
O TT é um indicador de termos reais de troca, refletindo a relação entre preços relativos e não quantidades comercializadas.
5: Força de uma Moeda – Abordagem pelo Mercado Financeiro
5.1: Introdução
A abordagem financeira analisa a força da moeda a partir da sua atratividade para investidores e fluxos de capital. Sua importância está em explicar movimentos de curto e médio prazo no câmbio, influenciados por juros, risco e expectativas.
Entre os principais indicadores estão:
(i) Currency Strength Meter,
(ii) Diferencial de juros com análise de risco (baseada em CDS) e
(iii) Índices DXY.
Essa abordagem é utilizada principalmente por investidores, traders e instituições financeiras. É aplicada porque o capital internacional responde rapidamente a oportunidades de retorno, fazendo com que moedas com maior atratividade financeira se valorizem, mesmo que temporariamente. Trata-se, portanto, de uma visão dinâmica e sensível às condições do mercado global.
5.2: Indicador pelo Diferencial da Taxa de Juros com análise de risco
Em inglês, Carry Trade Indicator. Indicador que utiliza a taxa básica de juros entre dois pares de economias. Em análises mais refinadas podemos utilizar a taxa de títulos públicos, para períodos de 10 anos. Entretanto, a lógica é a mesma.
Esse indicador não mede a Força de uma Moeda, mas sua atratividade financeira de curto prazo, em um dado momento. Isso porque taxas maiores atraem investidores. E essa é a lógica deste indicador. A equação 12 mostra o formato de sua aplicação.

O que ela diz? RESPOSTA: Ela nos informa que tem maior força financeira aquela moeda que tem maior taxa básica de juros tende a aumentar a atratividade, desde que controlados inflação e risco. Uma simples análise nos mostra que o uso único desta equação não faz sentido. Isso porque um país pode ter altas taxas de juros, as se há variação alta do câmbio, o investidor pode até perder dinheiro.
Caso haja alto risco de pagamento pode ser que o investidor não tenha seu retorno no investimento. Ou ainda o mais natural, a inflação pode reduzir, de forma considerável a rentabilidade. Logo, o primeiro a considerar é a taxa da inflação em nossa análise. Logo, a equação 12 se transforma na equação 13.

Agora temos algo mais real. Entretanto, devemos ainda considerar o risco. Existem vários indicadores de risco, um dos mais utilizados é o CDS (Credit Default Swap). O CDS é um indicador que aponta o grau de risco de um país não honrar seus compromissos com os investidores. É amplamente utilizado e pode ser encontrado, facilmente, Investing; World Government e Bloomberg.
A equação 14 mostra a Atratividade a qual é calculada pela relação entre os juros reais e o Índice de Risco. Este, por sua vez é calculado entre a relação do CDS de um país de referência, quase que majoritariamente é usado o CDS dos Estados Unidos, por sua referência de alta credibilidade. A equação 15 mostra essa relação.


Com esta construção podemos utilizar a taxa de juros como um modelo para identificar a força relativa de uma moeda ao investimento estrangeiro.
O QUE MEDE: A preferência da atração da moeda para capital financeiro entre duas economias.
EXEMPLO: Construa rankings de atratividade para os países abaixo, com dados de março de 2026, considerando três cenários distintos:
(i) Analise a taxa básica de juros, ou seja, os juros nominais, ao fim, construa um ranking;
(ii) Analise a taxa de juros reais, ao fim, construa um ranking e
(iii) Analise a atratividade de cada país, ao fim, construa um ranking.
Interprete os resultados.

Ranking 1: Essa construção é simples e direta. Para isso basta colocar em ordem crescente as taxas de juros nominais. Assim, temos:
1 – Argentina: 29,00%
2 – Brasil: 15%
3 – África do Sul: 6,75%
4 – Austrália: 3,85%
5 – EUA: 3,75%
6 – Inglaterra: 3,75%
7 – China: 3%
8 – Zona do Euro: 2,15%
9 – Japão: 0,75%
Por esta construção, nosso ranking é liderado pela Argentina.
Ranking 2: Este segundo é um pouco mais elaborado. Para sua construção devemos considerar a taxa de juros real. Isso nos leva a utilizar a Equação para a Taxa de Juros Real de Fisher. Caso queira saber mais, leia este Artigo (Clique Aqui). Ela é apresentada na equação 16. O parâmetro “n” é a taxa nominal e “i” é a taxa de inflação. O parâmetro “r” é a taxa real, aquela que compensa o investidor.

A partir disso podemos construir outra tabela.

Construindo o ranking 2, temos:
1 – Brasil: 9,31 (+1)
2 – Argentina: 7,50 (-1)
3 – África do Sul: 2,15 (0)
4 – Austrália: 1,32 (0)
5 – Inglaterra: 1,22 (0)
6 – EUA: 0,92 (-1)
7 – China: 0,78 (0)
8 – Zona do Euro: 0,05 (0)
9 – Japão: -1,23 (0)
Podemos notar que houve mudança no ranking. Os valores reais divergem dos valores nominais. Entre parênteses está a movimentação que houve entre o ranking 1 e o ranking 2, com ganhos, perdas ou manutenção de posição.
A Argentina que ostentava uma taxa de juros de 29%, após a aplicação da taxa da inflação, seu valor reduziu drasticamente. O Brasil passa a liderar este ranking. Mas será que ele se manterá nesta posição no ranking 3?
Um ponto a considerar é que essa construção, feita a partir da taxa real de juros já permite ao investidor ter uma ideia de onde investir. Isso porque aponta para a rentabilidade real de seu investimento, desconsiderando os riscos do país, o que vamos avaliar em sequência.
Ranking 3:
Para construir nosso último ranking precisamos do valor do CDS de cada país. Vamos usar como país de referência os EUA. Fazendo a construção de nossa tabela, temos:
Recordamos que utilizamos as equações 15, para o Índice de Risco e 14 para a Atratividade. Com base nestes valores tabelados, vamos construir o ranking 3.

Agora temos uma forma de construir um ranking que considera, simultaneamente, rentabilidade e riscos. Segue nosso ranking 3.
1 – Austrália: 3,38 (+3) (+3)
2 – Brasil: 2,48 (-1) (0)
3 – Inglaterra: 2,44 (+2) (+2)
4 – EUA: 0,92 (+2) (+1)
5 – China: 0,47 (+2) (+2)
6 – África do Sul: 0,43 (-3) (-3)
7 – Argentina: 0,23 (-5) (-6)
8 – Zona do Euro: 0,1 (0) (0)
9 – Japão: -2,20 (0) (0)
Os números entre parênteses indicam a mudança de posição. O primeiro é com relação ao ranking 2, o segundo com relação ao ranking 1. Podemos notar que há uma grande mudança de cenários entre o ranking 1 e o 3.
A Zona do Euro e o Japão mantiveram suas posições, reflexo de suas taxas de juros e baixas inflações o que permite entender a taxa de juros como reflexo de rentabilidade sem muita dificuldade. Isso porque a baixa inflação reduz a diferença entre taxa nominal e real. O Brasil se mostrou consistente, mantendo-se nas duas posições em todos os 3 rankings. Isso demonstra coerência entre rentabilidade e taxa de juros, aliado à credibilidade no estrangeiro.
A Inglaterra tem uma baixa rentabilidade, mas um país de grande credibilidade, o que faz subir de posição. Sua credibilidade só é superada pela Austrália que tem um CDS 14, resultando em um Índice de Risco 0,39. Assim como a Inglaterra, a Austrália tem baixa rentabilidade.
O Brasil é o país com maior rentabilidade, entretanto, seu Índice de Risco é, em torno de 10 vezes maior que o índice da Austrália. Isso “segura” o país e não é bem visto pelos investidores. Dentre os 9 países analisados, o Brasil é o 7º na escala de riscos, sendo um dos de maior risco.
Por fim, cabe citar a Argentina. Sua alta taxa nominal de rentabilidade não condiz com a realidade. O ranking 2 já fala per se. Dependendo do perfil do investidor, a análise pode priorizar retorno (ranking 2) ou equilíbrio risco/retorno (ranking 3).
Esse indicador é amplamente utilizado por investidores, gestores de fundos, bancos e traders, sendo especialmente útil para identificar oportunidades de alocação internacional de capital com base na relação entre retorno e risco.
Essa abordagem evidencia que a Força de uma Moeda, no mercado financeiro, é dinâmica e pode divergir significativamente de sua força estrutural na economia real.
5.3: Índice DXY
Esse indicador mede o valor de uma moeda diante de uma cesta de moedas. Isso permite ter uma razoável ideia de seu valor comparativo no cenário comercial diante desta cesta de moedas, um benchmark. Originariamente, o Índice DXY é um indicador construído para o Dólar Americano.
Ele foi concebido no ano de 1973 sendo um índice baseado em média geométrica ponderada que mede a força do Dólar Americano frente a uma certa cesta de moedas, refletindo sua posição relativa no sistema financeiro internacional. O indicador DXY desde quando foi concebido não foi passou por revisões estruturais completas. Houve uma adaptação em 1999.
Isso implica que os pesos ponderados e as moedas não foram atualizados, já que a equação de hoje é a mesma do ano de 1973, momento base considerado 100 para fins de análise. A cesta de moedas inclui os seguintes países e, naturalmente, suas moedas.
EUR → 57,6% (Euro; Zona do Euro)
JPY → 13,6% (Iene; Japão)
GBP → 11,9% (Libra Esterlina; Inglaterra)
CAD → 9,10% (Dólar Canadense; Canadá)
SEK → 4,20% (Coroa Sueca; Suécia)
CHF → 3,60% (Franco Suíço; Suíça)
Os pesos na equação refletem o comércio internacional dos EUA e seus parceiros em 1973, cujos valores tem relação com a participação percentual destes com os EUA, no binômio exportação e importação. A equação 17 mostra a relação.
O leitor mais atento deve ter notado que há uma aparente incongruência, já que afirmamos que o indicador foi concebido em 1973 e que não houve atualização. Entretanto, aparece o Euro, moeda que surgiu em 1999. O que ocorre é que quando concebido o indicador DXY havia as seguintes moedas:
Marco alemão (Alemanha)
Franco francês (França)
Lira italiana (Itália)
Florim holandês (Países Baixos)
Franco belga (Bélgica)
Quando em 1999, momento em que estes países adotaram o Euro, houve uma adaptação e não uma atualização. Neste momento todos os países acima entraram no mesmo grupo (EURO) e agregaram seus percentuais individuais.

Três pontos de observação. Expoentes negativos estão presentes porque a relação está invertida, com o Dólar Americano no denominador. O valor inicial “50,14348112” é para que o valor final, em 1973 resultasse em 100, por isso, 1973 é a base 100. A relação apresentada para cada par de moedas é a taxa cambial.
O QUE MEDE: A força relativa de uma moeda no mercado global.
Exemplo: Com base em 26 de março de 2026, calcule o Índice DXY. Comente o resultado.
Solução:
Temos as seguintes taxas cambiais:
EUR/USD: 1,149
JPY/USD: 160,0
GBP/USD: 1,333
CAD/USD: 1,370
SEK/USD: 10,20
CHF/USD: 1,190
Aplicando os valores na equação 17, chegamos a: DXY = 102,325. Isso significa que o Dólar Americano está 2,32% mais forte que que a média histórica (ano de 1973).
Esse indicador é especialmente relevante para os estadunidenses e para todos aqueles que tenham investimentos em Dólares Americanos. A pergunta que devemos fazer: Há uma versão brasileira do DXY?
E a resposta é sim! Inclusive, utilizando a mesma lógica podemos criar um DXY com versão para qualquer moeda/país. Vamos criar um Índice DXY versão brasileira. Vamos denominá-lo como ÍNDICE VOX BRL (IVB) (©). Nossa base será 25 de março de 2026. Vamos aplicar a seguinte metodologia para sua construção:
METODOLOGIA PARA CONSTRUÇÃO DO ÍNDICE VOX BRL
1: Os 5 maiores parceiros comerciais do período de janeiro a dezembro de 2025 entram na equação.
2: Os 10 maiores parceiros vão compor a média aritmética ponderada de seus câmbios com relação a sua participação e compor a taxa de câmbio média – X.
3: A taxa de câmbio média vai gerar um índice “Y” com relação ao Dólar Americano para atualizações de valores futuros.
4: Vamos utilizar as taxas de câmbio de 25 de março de 2026, para qualquer cálculo.
5: O parâmetro “K” é o valor que resolve a equação para resultado 100, ou seja, a base.
Temos, para o período de janeiro a setembro de 2025, os seguintes dados:

Conforme item 2 da metodologia, vamos determinar “X”.
X = (0,3) x (1/1,29) + (0,14) x (1/5,33) + (0,14) x (1/6,09) + (0,06) x (236,16) + (0,03) x (0,303) +
+ (0,025) x (0,1754) + (0,025) x (172,41) + (0,02) x (3,37) + (0,02) x (1/3,88) + (0,02) x (250)
X = 23,8477
Agora, aplicando o item 3 da metodologia, vamos calcular “Y”.
Y = 5,33/23,8477
Y = 0,2235
Vamos montar a equação 18 e, a partir dela, calcular “K”.

Com os dados das taxas cambiais e pela equação 18, o valor de “K” que resulte em IVB = 100 é:
100 = K x 0,926452 x 0,791148 x 0,776521 x 1,388009 x 1.107753 x 2,009272
100 = K x 1,758360
K = 56,871173
Assim, podemos apresentar o Índice Vox Brasil – IVB – conforme equação 19.

Para o Índice IVB ainda não há série histórica consolidada para análise comparativa.
O DXY é amplamente utilizado por investidores, traders, bancos e instituições financeiras para orientar decisões no mercado cambial e em ativos internacionais. Além disso, economistas e formuladores de política econômica também o utilizam como referência para analisar o comportamento do Dólar Americano no cenário global e seus impactos sobre comércio, inflação e fluxos de capital.
O DXY é um indicador sintético que resume a posição do Dólar Americano frente a uma cesta de moedas relevantes, permitindo avaliar sua força relativa de forma rápida e padronizada. Embora não capture todas as dimensões econômicas — como poder de compra interno ou competitividade estrutural — ele é extremamente útil para acompanhar tendências do mercado cambial e movimentos globais de valorização ou desvalorização do dólar.
5.4: Indicador Currency Strength Meter
É um indicador predominantemente usado em curto prazo para análise de trading. Esse indicador mede a força relativa de uma moeda com base na sua variação frente a um conjunto de outras moedas, usando como meio de análise a variação cambial de uma dada moeda dentro de uma cesta.
Os dados destas variações cambiais são obtidos em plataformas de trading, tais como MetaTrader 4; TradingView; Bancos Centrais e Provedores de dados (Bloomberg, Reuters). O cálculo é feito através da equação 20, onde “E” é a taxa de câmbio entre a moeda analisada e outra moeda estrangeira a qual faz parte da cesta de moedas selecionada para a análise. Por questões naturais de metodologia utilizamos uma moeda como referência, geralmente, mas não sempre, o Dólar Americano.

A partir da cesta de moedas nós utilizamos um período para calcular a variação da taxa de câmbio. A variação da taxa de câmbio é calculada a partir da equação 21.

Um ponto a considerar é como utilizar a cotação cambial. Há três formas possíveis, sendo duas delas plenamente utilizáveis na prática.
(i) Moeda X / Moeda de Referência: Menos comum em plataformas de mercado, mas válida para modelagem teórica.
(ii) Moeda de Referência / Moeda X, utilizada, útil para modelos teóricos, como este estudo.
(iii) Taxa de Câmbio sempre maior que “1”, o que implica que às vezes teremos Moeda X / Moeda de Referência e por vezes Moeda de Referência / Moeda X. Este formato é usado no Mercado Forex.
O que devemos ter claro é utilizar uma padronização e segui-la. No caso “iii” temos que aplicar sinais na taxa de câmbio para correção. Assim, quando a Moeda de Referência está no numerador na taxa de câmbio, então, mantemos o sinal da variação cambial. Caso a Moeda de Referência esteja no denominador na taxa de referência, então devemos trocar o sinal da variação cambial.
Quanto ao período ele pode variar conforme nossos objetivos. Em suma, temos:
Curto Prazo: É seu uso mais comum, muito utilizado por traders. Os períodos mais comuns, são:
(i) intraday (minutos/horas)
(ii) entre dias consecutivos
Médio Prazo: Útil para análise de tendências e análise tática. Os períodos mais comuns, são:
(i) semanal
(ii) mensal
Longo Prazo: É usado para análise macroeconômica e estudos estruturais. Os períodos mais comuns, são:
(i) trimestral
(ii) anual
O uso de gráficos é comum para melhor visualização e interpretação dos dados. Considerando que tratamos de uma cesta de moedas, a percepção e interpretação, através de gráficos se torna mais fluida e intuitiva. Logo, essa ferramenta é de grande valia para este tipo de indicador.
O QUE MEDE: A força relativa de uma moeda no curto prazo com base no desempenho frente a uma cesta de moedas.
EXEMPLO: Um investidor quer começar suas atividades como trader e para isso quer analisar a força relativa destas moedas. Ele vai fazer sua primeira análise, utilizando dois dias consecutivos para se familiarizar com as metodologias de análise. A partir dos dados abaixo, estimar a Força Relativa de cada uma das moedas da cesta.

Solução: O primeiro a observar é que todas as taxas de câmbio são maior que “1” e, por vezes o Dólar Americano, que é a moeda de referência, aparece no numerador e por vezes no denominador. Logo, isso nos indica, teremos que aplicar a correção de sinais. Em continuidade, a partir da equação 21 calculamos a variação para cada par da cesta de moedas.
Assim, temos:
EUR/USD: ∆EEUR/USD = 100 x (1,120 – 1,100)/1,100 → ∆EEUR/USD = +1,818; Correção? Sim: ∆EEUR/USD = -1,818
GBP/USD: ∆EGBP/USD = 100 x (1,315 – 1,300)/1,300 → ∆EGBP/USD = +1,154; Correção? Sim: ∆EGBP/USD = -1,154
USD/JPY: ∆EUSD/JPY = 100 x (152 – 150)/150 → ∆EUSD/JPY = +1,333; Correção? Não: ∆EUSD/JPY = +1,333
USD/BRL: ∆EUSD/BRL = 100 x (5,3 – 5,2)/5,2 → ∆EUSD/BRL = +1,923; Correção? Não: ∆EUSD/BRL = +1,923
Próximo passo é utilizar a equação 20 e calcular o indicador CSM.
∆E = ∆EEUR/USD + ∆EGBP/USD + ∆EUSD/JPY +∆EUSD/BRL
∆E = (-1,818) + (-1,154) + (+1,333) + (+1,923)
∆E = 0,284
A última etapa é colocar em escala, para fins de comparação, com referência ao Dólar Americano.
EUR: + 1,818
GBP: + 1,154
USD: + 0,28
JPY: – 1.333
BRL: – 1,923
Interpretação: O Currency Strength Meter indica que, no período analisado, o Euro apresentou maior valorização relativa frente às demais moedas, enquanto o Real brasileiro apresentou o pior desempenho, evidenciando perda de força no curto prazo. O Dólar Americano desvalorizou frente ao Euro e à Libra Esterlina e se valorizou diante do Iene e do Real.

O Currency Strength Meter é amplamente utilizado por traders, analistas técnicos e investidores de curto prazo, especialmente no mercado Forex, para identificar oportunidades de compra e venda com base na força relativa das moedas.
Por fim, vamos apresentar um gráfico típico deste indicador, meramente ilustrativo.

6: Conclusão
A análise da Força de uma Moeda não pode ser reduzida a um único indicador ou abordagem. Ao longo deste estudo, ficou evidente que se trata de um conceito multidimensional, cuja compreensão exige a integração de diferentes perspectivas: monetária, comercial e financeira.
Pela abordagem monetária, observamos que o valor real de uma moeda está diretamente ligado ao seu poder de compra interno. Indicadores como a Paridade do Poder de Compra (PPP) e o Índice Big Mac demonstram que o câmbio nominal, isoladamente, não é suficiente para refletir a realidade econômica, sendo necessário considerar o custo de vida e os preços relativos entre economias.
Na abordagem pelo comércio internacional, a Força da Moeda se manifesta na capacidade competitiva de uma economia. Indicadores como a Taxa de Câmbio Real (RER), a Taxa de Câmbio Real Efetiva (REER) e os Termos de Troca (TT) revelam como inflação, estrutura produtiva e relações comerciais influenciam o poder de compra externo de um país. Essa abordagem evidencia que uma moeda forte não é apenas aquela valorizada nominalmente, mas aquela que sustenta competitividade e equilíbrio nas trocas internacionais.
Já pela abordagem do mercado financeiro, a Força da Moeda assume uma dinâmica mais sensível e volátil, influenciada por fluxos de capital, diferenciais de juros e percepção de risco. O uso do diferencial de juros ajustado pelo risco, bem como indicadores como o U.S. Dollar Index, permite compreender como o capital internacional se desloca em busca de retorno, impactando diretamente o valor relativo das moedas. Nesse contexto, o Currency Strength Meter se destaca como ferramenta de curto prazo, captando movimentos imediatos e oferecendo suporte à tomada de decisão no trading.
Além disso, a construção do Índice Vox Brasil (IVB) representa uma contribuição metodológica relevante, ao adaptar a lógica do DXY para a realidade brasileira, incorporando parceiros comerciais e características próprias da economia nacional. Essa proposta reforça a ideia central deste trabalho: não há um modelo único e universal, mas sim estruturas que podem, e devem, ser ajustadas conforme o objeto de análise.
Em síntese, a Força de uma Moeda é resultado da interação entre fundamentos econômicos, estrutura comercial e dinâmica financeira. Cada indicador analisado cumpre um papel específico, e sua utilização adequada depende do objetivo da análise. Turistas, empresas, economistas e investidores podem, a partir dessas ferramentas, extrair interpretações distintas, porém complementares.
Portanto, mais do que buscar uma resposta única, o estudo da Força de uma Moeda exige uma leitura integrada, crítica e contextualizada. É justamente nessa combinação de métodos que reside a capacidade de compreender, com maior precisão, o posicionamento de uma moeda no cenário econômico global.
