1: Proposição
O índice Losemore-Hanby (LH) foi criado em 1971, proposto por Loosemore (John Loosemore) e Hanby (Victor J. Hanby). O índice LH mede a desproporcionalidade da representação dos partidos em um sistema eleitoral.
2: Conceitos
Conceitualmente, o índice LH mede o desvio total (e não o desvio médio) em uma eleição e serve para verificar o nível de desproporcionalidade quanto à quantidade de cadeiras conquistadas pelos partidos com relação à proporção dos votos recebidos. É considerado índice mais real para análise de desproporcionalidade do sistema eleitoral que o índice RAED. Isso devido à medida de desvio total e não do uso médio.

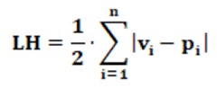
Onde:
n: Número
vi: Proporção de votos recebidos pelo partido
pi: Proporção de cadeiras na casa legislativa ocupadas pelo partido
Seu valor pode ser apresentado na forma numérica, quando calculado a partir das proporções ou pode ser apresentado na forma percentual, quando calculado a partir de valores percentuais. Os dois são utilizados, entretanto, o valor percentual é mais comum.
Ele é calculado através da diferença absoluta, em módulo, entre a proporção (ou percentual) de cadeiras conquistadas por esse partido na casa legislativa – (vi) e a proporção (ou percentual) de votos recebidos por um partido (pi). Assim, a partir deste raciocínio, o índice LH permite mensurar o quanto uma eleição desvia-se do princípio eleitoral que diz: “Uma pessoa, um voto”. Em outras palavras o índice LH informa, a respeito dos votos que foram desperdiçados.
Isso porque se vi = pi isso significa que todo voto dado por parte dos eleitores foi convertido em cadeiras na casa legislativa. Quando vi > pi isso significa que a proporção de votos recebidos foi maior que a proporção de cadeiras conquistadas por esse partido. Logo; a diferença entre vi – pi representa a parcela de votos dos eleitores a esse partido que não tiveram relevância alguma para a conquista de cadeiras na casa legislativa. Nesse caso há prejuízo ao partido.
Se vi < pi isso significa que a proporção de votos recebidos foi menor que a proporção de cadeiras conquistadas por esse partido. Ainda que para esse partido a conquista de cadeiras foi melhor que sua votação, isso traz prejuízo para outro partido porque o cálculo é feito a partir de proporção, o que considera o valor total. Portanto; para este último caso, a diferença vi – pi representa a parcela de votos dos eleitores que não votaram nesse partido e que mesmo assim garantiu a esse partido a conquista de cadeiras na casa legislativa. Nesse caso há benefício ao partido.
Portanto; para cada prejuízo a um partido há benefício para outro partido. Isso porque o cálculo considera proporções das cadeiras conquistadas por cada partido (pi). Diante desse raciocínio é possível notar que o resultado vi – pi aparecerá duas vezes; uma na forma de prejuízo ao partido A e outra vez na forma de benefício ao partido B. Por isso, para evitar duplicação dos mesmos valores existe a divisão por 2. Importante destacar que o cálculo é feito utilizando o módulo da diferença entre os valores. Assim, a divisão por 2 é para evitar que a análise seja feita considerando duas vezes o mesmo valor.
Por fim, retomando a ideia anterior, o índice LH, na forma como é calculado por definição, indica a quantidade de votos desperdiçados. Isso é visto quando vi < pi. Logo, o índice LH mede, de fato, a desproporcionalidade de um sistema eleitoral, em determinada eleição. Fala-se em desproporcionalidade e não em proporcionalidade dado seu conceito formal e matemático.
3: Interpretação
Para fins de apresentação é mais sugestivo apresentar o valor na sua forma percentual. A ideia de interpretação é simples. Quanto menor o valor calculado, menos desproporcional é o sistema eleitoral. Para valores maiores, maior é a desproporcionalidade do sistema eleitoral.
4: Dados de Entrada
Para calcular o índice LH dois dados são necessários: O primeiro dado necessário é a quantidade de votos obtidos por cada partido (Vi). O segundo dado necessário é a quantidade de cadeiras obtidas por cada partido (Pi). Assim, a partir de Vi e Pi é calculado vi e pi, respectivamente. Por estes valores determina-se o índice LH.
5: Exemplo
A partir da Tabela abaixo, temos Σ| vi – pi | = 0,33757; logo LH = 16,87%.
| i | Pi | pi | pi2 | vi | vi2 | (vi-pi) | (vi-pi)2 |
| 1 | 60 | 0,247474 (= 49/198) | 0,061243 | 0,2720 | 0,073984 | 0,024526 | 0,0006031 |
| 2 | 55 | 0,237373 (= 47/198) | 0,056345 | 0,2450 | 0,060025 | 0,007627 | 0,0000581 |
| 3 | 42 | 0,222222 (= 44/198) | 0,0493826 | 0,2040 | 0,041616 | -0,18222 | 0,0332041 |
| 4 | 12 | 0,090909 (= 18/198) | 0,0082464 | 0,0760 | 0,005776 | -0,02309 | 0,0005331 |
| 5 | 9 | 0,070707 (= 14/198) | 0,0049994 | 0,0630 | 0,003969 | -0,01407 | 0,0001979 |
| 6 | 8 | 0,060606 (= 12/198) | 0,0036730 | 0,0590 | 0,003481 | 0,05294 | 0,0028026 |
| 7 | 6 | 0,040404 (= 8/198) | 0,0016324 | 0,0290 | 0,000841 | -0,01140 | 0,0001299 |
| 8 | 3 | 0,015151 (= 3/198) | 0,0002295 | 0,0240 | 0,000576 | 0,008849 | 0,0000783 |
| 9 | 2 | 0,010101 (= 2/198) | 0,0001020 | 0,0190 | 0,000361 | 0,008899 | 0,0000791 |
| 10 | 1 | 0,005051 (= 1/198) | 0,000025 | 0,009 | 0,000081 | 0,003949 | 0,0000155 |
| n = 10 | T = 198 | Σpi = 1 | Σ(pi)2 = 0,18587 | Σvi = 1 | Σ(vi)2 = 0,19071 | Σ|vi-pi| =0,33757 | Σ|vi-pi|2 =0,03770 |
Tabela: Dados trabalhados de votação para Deputados Federais (meramente ilustrativo)