1: Proposição
Como o índice anteriormente apresentado, o RAED foi criado em 1967 e proposto por Rae (Douglas Whiting Rae; Cientista Político – Estados Unidos). O índice RAED mede a desproporcionalidade da representação dos partidos em um sistema eleitoral. Pode ser dado na forma numérica ou na forma percentual. A mais comum é a primeira forma, ainda que a segunda seja mais intuitiva.
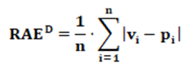
2: Conceitos
Conceitualmente, o índice RAED mede o desvio médio (e não o desvio total) em uma eleição e serve para verificar o nível de desproporcionalidade quanto à quantidade de cadeiras conquistadas pelos partidos com relação à proporção dos votos recebidos. É o mais antigo índice de desproporcionalidade do sistema eleitoral.

Onde:
n: Número
vi: Proporção de votos recebidos pelo partido
pi: Proporção de cadeiras na casa legislativa ocupadas pelo partido
Pela equação é possível notar que o índice RAED é uma média, já que a somatória é dividida pelo número de partidos. Por isso mede o desvio médio. Entretanto, a equação possui um problema de duplicidade de valores. Para entender isso temos que compreender a diferença entre vi – pi. O parâmetro pi indica a proporção de cadeiras conquistadas por um partido qualquer. Já vi indica a proporção de votos que esse partido obteve nas eleições.
Assim, quando vi > pi isso representa que houve maior proporção de votos do que a proporção de cadeiras conquistadas. E como o cálculo é feito a partir de proporções (relativas), as cadeiras que um partido não ganhou fica para outro partido. Portanto, para o partido A; vi – pi = X; então, para um partido B, teremos vi – pi = -X. Entretanto, como o valor é dado em módulo o valor -X acaba se transformando em X; o que faz com que o valor X apareça duas vezes; ou seja, 2X. Por isso há duplicidade de valores.
Isso não significa que o índice não tenha seu valor, já que isso deve ser considerado na análise. Ademais, há índice que elimina essa duplicidade de valores, como veremos neste artigo. O que temos que entender é que o índice RAED é uma média do desvio entre a proporção de cadeiras conquistadas (vi) com a proporção dos votos obtidos (pi). E desta forma permite mensurar o nível de desproporcionalidade de um dado sistema eleitoral.
Algo que devemos entender é que dentro de um pleito eleitoral quando um partido pequeno recebe votação (vi > 0), mas não recebe cadeiras (pi = 0) então o índice RAED é subestimado. Assim, pequenos partidos, com pouca votação e pouca ou nenhuma cadeira conquistada subestima o índice RAED. Um dos elementos que contribui para isso é o número de partidos (n), que passa de n (sem a presença do partido pequeno) para n + 1 (com a presença do partido pequeno).
3: Interpretação
Para fins de apresentação é mais sugestivo apresentar o valor na sua forma percentual. A ideia de interpretação é simples. Quanto menor o valor calculado, menos desproporcional é o sistema eleitoral. Para valores maiores, maior é desproporcionalidade do sistema eleitoral.
4: Dados de Entrada
Para calcular o índice RAED dois dados são necessários: O primeiro dado necessário é a quantidade de votos obtidos por cada partido (Vi). O segundo dado necessário é a quantidade de cadeiras obtidas por cada partido (Pi). Assim, a partir de Vi e Pi é calculado vi e pi, respectivamente. Por estes valores determina-se o índice RAED.
5: Exemplo
A partir da Tabela abaixo, temos Σ| vi – pi | = 0,33757; logo RAED = 33,75%.
| i | Pi | pi | pi2 | vi | vi2 | (vi-pi) | (vi-pi)2 |
| 1 | 60 | 0,247474 (= 49/198) | 0,061243 | 0,2720 | 0,073984 | 0,024526 | 0,0006031 |
| 2 | 55 | 0,237373 (= 47/198) | 0,056345 | 0,2450 | 0,060025 | 0,007627 | 0,0000581 |
| 3 | 42 | 0,222222 (= 44/198) | 0,0493826 | 0,2040 | 0,041616 | -0,18222 | 0,0332041 |
| 4 | 12 | 0,090909 (= 18/198) | 0,0082464 | 0,0760 | 0,005776 | -0,02309 | 0,0005331 |
| 5 | 9 | 0,070707 (= 14/198) | 0,0049994 | 0,0630 | 0,003969 | -0,01407 | 0,0001979 |
| 6 | 8 | 0,060606 (= 12/198) | 0,0036730 | 0,0590 | 0,003481 | 0,05294 | 0,0028026 |
| 7 | 6 | 0,040404 (= 8/198) | 0,0016324 | 0,0290 | 0,000841 | -0,01140 | 0,0001299 |
| 8 | 3 | 0,015151 (= 3/198) | 0,0002295 | 0,0240 | 0,000576 | 0,008849 | 0,0000783 |
| 9 | 2 | 0,010101 (= 2/198) | 0,0001020 | 0,0190 | 0,000361 | 0,008899 | 0,0000791 |
| 10 | 1 | 0,005051 (= 1/198) | 0,000025 | 0,009 | 0,000081 | 0,003949 | 0,0000155 |
| n = 10 | T = 198 | Σpi = 1 | Σ(pi)2 = 0,18587 | Σvi = 1 | Σ(vi)2 = 0,19071 | Σ|vi-pi| =0,33757 | Σ|vi-pi|2 =0,03770 |
Tabela: Dados trabalhados de votação para Deputados Federais (meramente ilustrativo)