1: Introdução
A cultura econômica e financeira no Brasil é bastante rara e muito pouco difundida em termos educacionais e culturais. Temos visto muitos projetos – tentativas de proporcionar uma educação financeira – falharem totalmente em seu aspecto de abordagem teórica olvidando-se de dar corpo real e prático ao conhecimento conceitual.
Muito se vê em promessas de educação financeira focando em empreendedorismo. Nada contra, entretanto, na prática essa abordagem falha em 99% dos casos. Isso porque nestes cursos e tentativas de educar financeiramente, falta o básico, que é aprender a analisar e a utilizar os elementos reais da vida real.
Eles falham ao não ensinar, por exemplo, a calcular o rendimento real de um investimento, considerando a inflação (Artigos de relevância: Taxa de Juros Real e Rentabilidade Real). Falham ao não ensinar como calcular a Taxa de Câmbio Real (para esse Artigo, Clique Aqui). Ensinam sobre Markup (para saber mais, Clique Aqui), mas não se atrevem ensinar sobre os rudimentos mais basilares do Comércio Internacional, em um mundo globalizado ou sobre Macroeconomia aplicada.
Diante desse cenário, vamos apresentar a diferença técnica entre o Valor de uma Moeda e a Valorização dessa Moeda. São; pois, aspectos diferentes e isso deve ser entendido por todo aquele que almeje ter o mínimo de erudição em educação financeira; pois, trata-se de algo muito fundamental.
2: Valor de uma Moeda
2.1: Introdução
Vamos começar pelo básico: o que é Valor?
Em termos econômicos, o Valor de um bem corresponde à importância econômica que lhe é atribuída. Ou seja, Valor é o grau de importância que determinado bem tem na economia. Em nossa economia, em contextos de não exceção, um automóvel tem maior importância à economia que uma mesa.
Quando essa importância, ou seja, quando esse Valor é expresso em Unidades Monetárias, temos o que chamamos de Preço. Por exemplo, quando alguém afirma que pagou R$ 30,00 por uma refeição, essa informação indica que o restaurante estabeleceu esse Preço para o produto oferecido.
Naturalmente, um bem não pode atribuir Valor a si próprio, pois é desprovido de autonomia. Assim, quem estabelece o Preço é o proprietário ou o gestor do estabelecimento.
Algo semelhante ocorre com a moeda. A moeda, por si mesma, não pode atribuir valor a si própria.
Surge então uma questão fundamental:
Quem determina o valor de uma moeda?
De forma mais ampla, devemos perguntar:
Quem atribui valor à moeda?
Quais fatores influenciam esse valor?
Por que compreender esse processo é importante?
A partir dessas questões, desenvolveremos a análise a seguir.
2.2: Valor de uma Moeda
Já temos clara a diferença conceitual entre Valor e Preço. Vamos agora apresentar o conceito referente ao Valor de uma Moeda.
VALOR DE UMA MOEDA: Conceitualmente, é o poder de compra que uma unidade monetária possui em relação ao conjunto de bens e serviços disponíveis na economia. Em termos práticos, é a quantidade de bens e serviços que uma unidade monetária permite adquirir em uma economia. Isso é aplicado à economia doméstica.
2.3: Preço de uma Moeda
Agora nos cabe definir, conceitualmente, o que é o Preço de uma Moeda.
PREÇO DE UMA MOEDA: Conceitualmente, corresponde ao Valor pelo qual uma Moeda é trocada por outra Moeda. Isso é referenciado ao mercado externo, diferentemente do Valor de uma Moeda o qual é referenciado à economia doméstica. O Preço de uma Moeda é a chamada Taxa de Câmbio.
2.4: Relação entre Valor de uma Moeda e Preço de uma Moeda
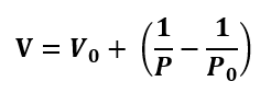
Dos conceitos de Valor e Preço de Moeda resulta a seguinte relação matemática:

Isso nos diz que ao aumentar o Nível Geral de Preços em uma dada economia, o Valor da Moeda diminui, ou seja, a Moeda desvaloriza. Ao passo que, com a queda do Nível Geral de Preços, o Valor da Moeda aumenta, ou seja, a Moeda valoriza.
Ao aumento generalizado de Preços, denominamos esse fenômeno de inflação. Logo, a inflação é um dos fatores que influencia o Valor de uma Moeda.
2.5: Fatores que influenciam no Valor de uma Moeda
Grande parte das análises econômicas pode ser feitas a partir da Lei de Oferta e Demanda. Esse sempre será nosso ponto de partida. Além desta Lei e da inflação, outros fatores alteram o Valor de uma Moeda.
2.5.1: Lei de Oferta e Demanda
Essa Lei estabelece que, mantidas as demais condições constantes, quanto maior a oferta de um bem ou serviço em relação à sua demanda, menor tende a ser seu preço. Da mesma forma, quanto maior a escassez relativa de um bem ou serviço, maior tende a ser seu preço. Diz também que quanto mais escasso seja um bem ou serviço, maior é o Valor dele na sociedade. Obviamente que isso afeta o preço. Se o produto é abundante, o preço baixa; se o produto é escasso, o preço aumenta.
O mesmo ocorre com a Moeda, mas com um detalhe. A questão não envolve apenas a circulação da moeda, mas uma circulação desproporcional. Explica-se!
A circulação de Moeda em conúbio com a produção de uma sociedade é um fenômeno normal e esperado. Entretanto, quando a circulação de Moeda aumenta, mas a produção se mantém igual ou diminui, então existe excesso de Moeda, logo, esse excesso de Moeda faz com que seu Preço – considerada, neste contexto em especial, semelhante a um bem econômico – diminui; ou seja, o Valor da Moeda diminui.
O contrário é verdadeiro. Se a produção aumenta, de forma que a circulação de Moeda não consegue acompanhar esse crescimento, então, a quantidade de Moeda está reduzida; logo, sua menor quantidade a valoriza, fazendo com que a Moeda seja valorizada.
A valorização está atrelada à quantidade de Moeda que circula com relação à produção. Não se trata apenas de circulação, mas se essa acontece de forma saudável ou anormal. A produção e como se dá seu crescimento é fator primordial neste tipo de análise.
Isso deve ser considerado porque se olharmos apenas para a circulação de Moeda, o Dólar Americano seria uma Moeda altamente desvalorizada, mas não é o que acontece. Isso não ocorre porque o Dólar Americano possui elevada demanda internacional, sendo amplamente utilizado no comércio internacional e nas reservas monetárias de diversos países.
Logo, para valorizar uma Moeda, a Produção de uma sociedade e a circulação de Moeda nesta mesma sociedade devem estar em harmonia. O fato de haver Produção em uma sociedade, isso per se, já coloca, naturalmente, a Moeda em circulação, salvo eventos de exceção. Portanto; a valorização de uma Moeda está, em grande parte, influenciado pela Produção de uma sociedade. Isso traz um crescimento real, verdadeiro à economia.
A produção de uma economia exerce forte influência sobre o valor da Moeda, pois determina a quantidade de bens e serviços disponíveis para serem adquiridos com a Moeda em circulação. A ideia é clara. Quanto mais produtos no mercado, menor será o preço destes produtos, ou seja, Lei de Oferta e Demanda. Isso traz por consequência que se requer de menor quantidade de Valor de uma Moeda para adquirir um bem. Portanto; a Moeda valoriza, tal como visto em nossa relação, menor Preço, maior valorização da Moeda.
2.5.2: Inflação
A inflação é outro fator de grande relevância e atrelado ao item anterior. A consequência é direta. Aumento dos Preços, desvaloriza a Moeda. Redução dos Preços, valoriza a Moeda. A relação matemática continua válida.
Quanto maior a inflação e quanto mais tempo ela perdura, mais uma Moeda se desvaloriza. Uma baixa inflação garante maior valorização de uma Moeda. O Estado pode agir para, artificialmente conter a inflação, mas isso não significa ganho na valorização da Moeda. Porque a Moeda não se valoriza de forma artificial. Por isso voltamos mais uma vez na questão da Produção. Em termos práticos, a inflação pode indicar desequilíbrios econômicos e instabilidade monetária em uma economia.
2.5.3: Confiança dos Agentes Econômicos
Este terceiro ponto nos traz a última frase do item anterior. Se um país não é considerado estável, política e economicamente, sua Moeda tem valor reduzido. Um país com uma política instável, afasta investimento externo. Menos investimento externo, menor Produção, logo, a Moeda tende a valorizar menos.
Outro ponto é que uma política instável cria desconfianças e, como forma de se garantir, empresas se blindam de forma que a consequência disso é o aumento dos Preços, o que gera inflação e desvaloriza a Moeda. Ademais, além de tornar mais difícil ser atraente ao investimento externo, políticas duvidosas ou instáveis, eleva a fuga de capital estrangeiro, e quando ocorre fuga de capitais ou redução da confiança na economia, diminui a demanda pela Moeda doméstica, o que tende a provocar sua desvalorização.
2.5.4: Política Monetária Doméstica
A Política Monetária Doméstica influencia o Valor de uma Moeda. A Taxa de Juros, caso da Selic no Brasil, serve para atenuar a inflação. Entretanto, essa medida é artificial e; portanto, a Moeda pode valorizar por um tempo, mas sem uma Produção que acompanhe a Moeda desvalorizará com o tempo. Ela constitui um instrumento de Política Monetária utilizado para influenciar a inflação e as condições de crédito da economia.
2.5.5: Expectativas Econômicas
Países com boas perspectivas, atraem investimentos externos. Isso aumenta a circulação de Moeda, juntamente com o aumento da Produção. Boas expectativas garantem manter o capital estrangeiro, evitando ou reduzindo a fuga de capital.
Escândalos de corrupção, agravados por eventos recorrentes; crises ou desconfianças quanto ao sistema judiciário; inadimplência Estatal; conflitos internos e internacionais; são alguns dos elementos que abalam o otimismo de uma economia, o que dificilmente vai atrair investimentos externos e dá pouca garantia na manutenção do capital estrangeiro já presente.
2.5.6: Relação com Moedas estrangeiras
O Valor de uma Moeda não deixa de ser algo relativo. A força de uma Moeda influencia outras Moedas. Essa força reside (i) – na estabilidade que ela tem na economia doméstica e (ii) – na capacidade de ser usada em Comércio Internacional.
2.6: Moedas de Maior Valor hoje
Segue a cotação relativa obtida em 12 de março de 2026, às 09h45, das Moedas que mais têm valor, cujo resultado é apresentado em sequência:

Sempre que se trata de elementos dinâmicos a data deve ser informada. As Moedas são elementos dinâmicos porque variam seu valor e quantidade disponível ao longo do tempo.
Para fins de curiosidade, a primeira moeda latina, independente, ou seja, sem paridade com outras moedas, no caso, o Dólar Americano, que aparece é o Sol do Peru (PEN), na posição 35, na data em que esse Artigo foi escrito. O Real aparece, na posição 45. Logo, a moeda brasileira tem muito pouco valor.
Para muitos pode parecer surpresa que o Dólar Americano ocupe a posição 10. Mas isso não o torna menos atraente para o Comércio Internacional. Se você quiser entender isso, Clique Aqui.
Outra observação importante, é o fato de países Árabes ocuparem as posições superiores da lista. Se você quiser entender esse fenômeno, os motivos que colocam os países Árabes nas posições superiores quanto ao Valor da Moeda, Clique Aqui.
2.7: Um Breve Resumo
Com relação ao Valor da Moeda, o que deve estar claro:
1: Valor de uma Moeda é a quantidade de bens e serviços que uma Unidade Monetária permite adquirir em uma economia.
2: Valor de uma Moeda não se confunde com Preço. Preço é a expressão em Unidades Monetárias de um dado bem ou serviço.
3: O Preço de uma Moeda corresponde ao valor pelo qual ela é trocada por outra moeda. É a própria Taxa de Câmbio.
4: O Valor de Moeda está atrelado ao Poder de Compra Interno, ou seja, em uma economia doméstica.
5: A Taxa de Câmbio envolve, obrigatoriamente, elemento externo à economia doméstica.
3: Valorização de uma Moeda
3.1: Conceito
A Valorização de uma Moeda é um processo temporal onde ela aumenta seu Valor dentro de um dado período de tempo. Ao contrário do Valor de uma Moeda que é uma medida referente à quantidade de bens e serviços que uma Unidade Monetária permite adquirir, a Valorização de uma Moeda requer avaliar o comportamento do Valor da Moeda dentro da linha do tempo.
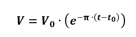
Matematicamente, pela perspectiva do preço, a Valorização de uma Moeda é dada através da seguinte equação diferencial:

A solução desta equação resulta em:

Pela inflação temos a seguinte relação:

Integrando os dois lados da equação, temos a equação final:

Onde:
V: Valor da Moeda
P: Preço
t: Tempo final
t0: Tempo inicial
π: Inflação
As equações mostram que a Valorização de uma Moeda varia no tempo e em função da redução do Preço e inflação. Redução dos Preços ao longo do tempo Valoriza uma Moeda. A redução da inflação ao longo do tempo Valoriza uma Moeda.
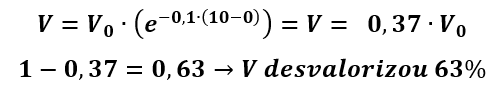
Em termos práticos, para a equação 2, em 10anos, com uma inflação média de 10%; a Moeda desvaloriza, aproximadamente 63%, veja-se:

A Moeda pode ser valorizada internamente ou externamente, e isso são mecanismos e fenômenos independentes entre si. Ou, em outras palavras, essas duas formas de valorização não são necessariamente simultâneas, pois uma moeda pode valorizar-se internamente e, ao mesmo tempo, manter-se estável ou até mesmo desvalorizar-se em relação a outras moedas.
3.2: Valorização Interna de uma Moeda
Partindo da lógica das equações, e do conceito de Valor de uma Moeda, a valorização ocorre quando o Poder de Compra aumenta dentro de um dado período. Ou seja, quando uma Unidade Monetária permite adquirir maior quantidade de bens e serviços dentro da economia doméstica no tempo presente que no tempo pretérito.
Isso ocorre por três motivos principais, mas não só:
(i) Aumento ordenado na Produção de bens e serviços
(ii) Redução dos preços
(iii) Redução da inflação
Estes três elementos, simultâneos ou não, permitem aumentar o Poder de Compra, o que, na linha do tempo, também permite a Valorização de uma Moeda.
3.3: Valorização Externa de uma Moeda
Em termos diretos e objetivos, uma Moeda ganha Valorização no cenário exterior quando ela passa a adquirir maior valor frente a outras Moedas. Ou seja, quando hoje é necessária menor quantidade na troca da Moeda doméstica pela Moeda estrangeira no momento de sua aquisição com relação a um tempo passado.
Quando uma Moeda doméstica hoje compra mais Moeda estrangeira que ontem, então, a Moeda doméstica teve Valorização. Esse fenômeno está associado à variação da Taxa de Câmbio na linha do tempo.
O fato de ter Valorização externa não significa Valorização interna. Isso porque pode acontecer de que outras Moedas desvalorizaram externamente, dando uma falsa ideia de valorização da Moeda doméstica.
3.4: Fatores que influenciam na Valorização de uma Moeda
Todos os fatores influenciam no Valor de uma Moeda, influenciam na Valorização. Entretanto, acrescenta-se dois elementos.
(i) Entrada de investimentos estrangeiros e
(ii) Demanda internacional pela Moeda
O primeiro ocorre porque há uma segurança política e econômica no país. As condições são favoráveis, o que aumenta a Produção de bens e serviço na economia e, por consequência, a circulação de Moeda doméstica.
O segundo elemento, devido ao maior Comércio Internacional, juntamente com a segurança política e econômica, o que eleva a aceitabilidade da Moeda junto ao estrangeiro.
3.5: Moedas que mais Valorizaram em 2025
Segue a relação das Moedas que mais valorizaram no ano de 2025, com relação ao ano de 2024. Nesse período houve desvalorização do Dólar Americano.

Como já esperado, uma Moeda com alto Valor, não necessariamente foi Valorizada em dado período de tempo. As duas tabelas permitem verificar o que foi apresentado na teoria ao longo deste Artigo.
3.6: Um Breve Resumo
O que deve estar claro sobre a Valorização de uma Moeda:
1: Ele não tem um valor pontual, mas sim medido na linha do tempo.
2: O Valor de uma Moeda não guarda relação com a Valorização de uma Moeda, são fenômenos distintos.
3: A Valorização de uma Moeda tem relação com Moedas estrangeiras, obrigatoriamente.
4: A Valorização de uma Moeda é uma medida relativa frente a outras Moedas.
5: A desvalorização de uma Moeda pode dar a falsa impressão de Valorização de outras Moedas. Como a medida é relativa, a desvalorização de uma Moeda promove a valorização das outras.